What Is Dissection Its Purpose Method And Subjects
Updated 2026
Verified by Expert Team

What Is Dissection Its Purpose Method And Subjects

Share

Executive Summary

Looking for details on What Is Dissection Its Purpose Method And Subjects? You're in the right place. This collection features 10 research snippets and 8 media assets focused on What Is Dissection Its Purpose Method And Subjects, complemented by 3 similar topics.

People searching for "What Is Dissection Its Purpose Method And Subjects" are also interested in: DISSECTION Definition & Meaning, What Is Dissection? Its Purpose, Method, and Subjects, Dissect: MedlinePlus Medical Encyclopedia.

Visual Analysis

Data Feed: 8 Units
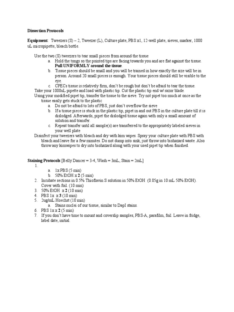
Dissection Protocols | PDF | Tools | Laboratory Techniques

Dissection Protocols | PDF | Tools | Laboratory Techniques

Bing
Learning by Doing -- The Role of Dissection in Science: A BayLines ...

Learning by Doing -- The Role of Dissection in Science: A BayLines ...

Bing
dissection-image - Anatomy Guy

dissection-image - Anatomy Guy

Bing
Dissection Resources | Carolina Knowledge Center

Dissection Resources | Carolina Knowledge Center

Bing
Solved What is the purpose of a dissection? | Chegg.com

Solved What is the purpose of a dissection? | Chegg.com

Bing
dissection | Principles of Biology Lab

dissection | Principles of Biology Lab

Bing
Free Dissection Resources

Free Dissection Resources

Bing
Dissection - Getting Nerdy Science Lessons

Dissection - Getting Nerdy Science Lessons

Bing

Intelligence Data

Dissection - Wikipedia
Verified SourceSource: www.bing.com

Dissection (from Latin dissecare "to cut to pieces"; also called anatomization) is the dismembering of the body of a deceased animal or plant to study its anatomical structure. Autopsy is used in …

DISSECTION Definition & Meaning - Merriam-Webster
Verified SourceSource: www.bing.com

The meaning of DISSECTION is the act or process of dissecting : the state of being dissected.

Aortic dissection - Symptoms & causes - Mayo Clinic
Verified SourceSource: www.bing.com

Sep 20, 2025 · An aortic dissection is a medical emergency in which a tear happens in the inner layer of the body's main artery. That artery is called the aorta. Blood rushes through the tear. …

DISSECTION | English meaning - Cambridge Dictionary
Verified SourceSource: www.bing.com

DISSECTION definition: 1. the action of cutting something open, especially a dead body or plant, in order to study its…. Learn more.

DISSECTION Definition & Meaning | Dictionary.com
Verified SourceSource: www.bing.com

DISSECTION definition: the act of dissecting. See examples of dissection used in a sentence.

What Is Dissection? Its Purpose, Method, and Subjects
Verified SourceSource: www.bing.com

Dissection involves carefully cutting apart an organism or object to study its internal structures, composition, and the relationships between its various parts. This systematic process allows …

Dissect: MedlinePlus Medical Encyclopedia
Verified SourceSource: www.bing.com

Jul 8, 2025 · Dissect means to cut or separate tissues. Surgeons dissect tissue during surgery. Most of the time, this is done to remove a part of the body that is thought to be diseased. …

dissection - Wiktionary, the free dictionary
Verified SourceSource: www.bing.com

Dec 14, 2025 · dissection (countable and uncountable, plural dissections) The act of dissecting. Something dissected. (Can we add an example for this sense?) (figurative) A minute and …

Dissection - definition of dissection by The Free Dictionary
Verified SourceSource: www.bing.com

Define dissection. dissection synonyms, dissection pronunciation, dissection translation, English dictionary definition of dissection. n. 1. The act or an instance of dissecting. 2. Something that …

dissection noun - Definition, pictures, pronunciation and usage …
Verified SourceSource: www.bing.com

Definition of dissection noun in Oxford Advanced Learner's Dictionary. Meaning, pronunciation, picture, example sentences, grammar, usage notes, synonyms and more.

Helpful Intelligence?

Our AI expert system uses your verification to refine future results for What Is Dissection Its Purpose Method And Subjects.

Related Intelligence Nodes

Network Suggestions

What Is Dissection Its Purpose Method And Subjects : Expert Tips 【8+ Images】 (Jan 2026) | dev.ctc. | dev.ctc.