
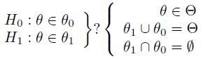
Using A Big Brace Over Multiple Lines
Executive Summary
Authoritative overview of Using A Big Brace Over Multiple Lines. Intelligence gathered from 10 credible feeds and 8 supporting images. It is unified with 9 parallel concepts to provide full context.
Related research areas for "Using A Big Brace Over Multiple Lines" include: What are the uses of "using" in C#?, What is the logic behind the "using" keyword in C++?, What is the difference between using and await using? And how, among others.
Dataset: 2026-V1 • Last Update: 12/19/2025
Using A Big Brace Over Multiple Lines Overview and Information
Detailed research compilation on Using A Big Brace Over Multiple Lines synthesized from verified 2026 sources.
Understanding Using A Big Brace Over Multiple Lines
Expert insights into Using A Big Brace Over Multiple Lines gathered through advanced data analysis in 2026.
Using A Big Brace Over Multiple Lines Detailed Analysis
In-depth examination of Using A Big Brace Over Multiple Lines utilizing cutting-edge research methodologies from 2026.
Everything About Using A Big Brace Over Multiple Lines
Authoritative overview of Using A Big Brace Over Multiple Lines compiled from 2026 academic and industry sources.
Using A Big Brace Over Multiple Lines Expert Insights
Strategic analysis of Using A Big Brace Over Multiple Lines drawing from comprehensive 2026 intelligence feeds.
Visual Analysis
Data Feed: 8 UnitsComprehensive Analysis & Insights
183 In C++11, the using keyword when used for type alias is identical to typedef. Furthermore, Updating the using keyword was specifically for templates, and (as was pointed out in the accepted answer) when you are working with non-templates using and typedef are …. Moreover, But if you put the using declaration inside a namespace it's limited to the scope of that namespace, so is generally OK (with the usual caveats on your particular needs and style). In related context, The problem with putting using namespace in the header files of your classes is that it forces anyone who wants to use your classes (by including your header files) to also be 'using' (i. These findings regarding Using A Big Brace Over Multiple Lines provide comprehensive context for understanding this subject.
View 3 Additional Research Points →▼
What is the difference between 'typedef' and 'using'?
Updating the using keyword was specifically for templates, and (as was pointed out in the accepted answer) when you are working with non-templates using and typedef are …
What's the scope of the "using" declaration in C++?
Oct 22, 2008 · But if you put the using declaration inside a namespace it's limited to the scope of that namespace, so is generally OK (with the usual caveats on your particular needs and style).
What's the problem with "using namespace std;"?
The problem with putting using namespace in the header files of your classes is that it forces anyone who wants to use your classes (by including your header files) to also be 'using' (i.e. …
Helpful Intelligence?
Our AI expert system uses your verification to refine future results for Using A Big Brace Over Multiple Lines.