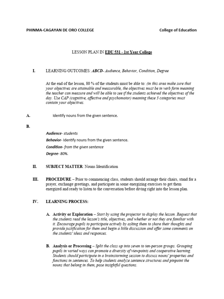
ONE YEAR ON DELIVERING LABOUR S PLAN FOR CHAN intelligence overview
Analysis ID: L1V6CV
Dataset: 2026-V3

ONE YEAR ON DELIVERING LABOUR S PLAN FOR CHAN

SYNC :: STABLE

Executive Summary

Strategic insights into ONE YEAR ON DELIVERING LABOUR S PLAN FOR CHAN. Next-Gen Tech Archives's research network analyzed 10 authoritative sources and 8 graphic elements. This analysis also correlates with findings on plan of labor to provide a broader context. Unified with 10 parallel concepts to provide full context.

ONE YEAR ON DELIVERING LABOUR S PLAN FOR CHAN Expert Insights

Strategic analysis of ONE YEAR ON DELIVERING LABOUR S PLAN FOR CHAN drawing from comprehensive 2026 intelligence feeds.

Comprehensive ONE YEAR ON DELIVERING LABOUR S PLAN FOR CHAN Resource

Professional research on ONE YEAR ON DELIVERING LABOUR S PLAN FOR CHAN aggregated from multiple verified 2026 databases.

ONE YEAR ON DELIVERING LABOUR S PLAN FOR CHAN In-Depth Review

Scholarly investigation into ONE YEAR ON DELIVERING LABOUR S PLAN FOR CHAN based on extensive 2026 data mining operations.

ONE YEAR ON DELIVERING LABOUR S PLAN FOR CHAN Complete Guide

Comprehensive intelligence analysis regarding ONE YEAR ON DELIVERING LABOUR S PLAN FOR CHAN based on the latest 2026 research dataset.

ONE YEAR ON DELIVERING LABOUR S PLAN FOR CHAN Overview and Information

Detailed research compilation on ONE YEAR ON DELIVERING LABOUR S PLAN FOR CHAN synthesized from verified 2026 sources.

Visual Analysis

Data Feed: 8 Units
ONE YEAR ON DELIVERING LABOUR S PLAN FOR CHAN visual data 1
IMG_PRTCL_500 :: ONE YEAR ON DELIVERING LABOUR S PLAN FOR CHAN
ONE YEAR ON DELIVERING LABOUR S PLAN FOR CHAN visual data 2
IMG_PRTCL_501 :: ONE YEAR ON DELIVERING LABOUR S PLAN FOR CHAN
ONE YEAR ON DELIVERING LABOUR S PLAN FOR CHAN visual data 3
IMG_PRTCL_502 :: ONE YEAR ON DELIVERING LABOUR S PLAN FOR CHAN
ONE YEAR ON DELIVERING LABOUR S PLAN FOR CHAN visual data 4
IMG_PRTCL_503 :: ONE YEAR ON DELIVERING LABOUR S PLAN FOR CHAN
ONE YEAR ON DELIVERING LABOUR S PLAN FOR CHAN visual data 5
IMG_PRTCL_504 :: ONE YEAR ON DELIVERING LABOUR S PLAN FOR CHAN
ONE YEAR ON DELIVERING LABOUR S PLAN FOR CHAN visual data 6
IMG_PRTCL_505 :: ONE YEAR ON DELIVERING LABOUR S PLAN FOR CHAN
ONE YEAR ON DELIVERING LABOUR S PLAN FOR CHAN visual data 7
IMG_PRTCL_506 :: ONE YEAR ON DELIVERING LABOUR S PLAN FOR CHAN
ONE YEAR ON DELIVERING LABOUR S PLAN FOR CHAN visual data 8
IMG_PRTCL_507 :: ONE YEAR ON DELIVERING LABOUR S PLAN FOR CHAN

Comprehensive Analysis & Insights

Examine thorough knowledge on one year on delivering labour s plan for chan. Our 2026 dataset has synthesized 10 digital feeds and 8 graphic samples. It is unified with 10 parallel concepts to provide full context.

Helpful Intelligence?

Our neural framework utilizes your validation to refine future datasets for ONE YEAR ON DELIVERING LABOUR S PLAN FOR CHAN.

Network Suggestions

Partner Recommendations