Mathematical Interest Theory Solutions
Updated 2026
Verified by Expert Team

Mathematical Interest Theory Solutions

Share

Executive Summary

Looking for details on Mathematical Interest Theory Solutions? You're in the right place. This collection features 10 research snippets and 8 media assets focused on Mathematical Interest Theory Solutions, complemented by 2 similar topics.

People searching for "Mathematical Interest Theory Solutions" are also interested in: MATHEMATICAL Definition & Meaning, What is Mathematics? – Mathematical Association of America.

Visual Analysis

Data Feed: 8 Units
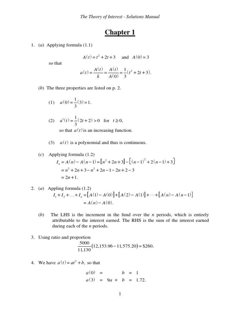
Theory of Interest Solution, Chap 1 | PDF | Equations | Interest

Theory of Interest Solution, Chap 1 | PDF | Equations | Interest

Bing
Chapter 1 of Mathematical Interest Theory | PDF

Chapter 1 of Mathematical Interest Theory | PDF

Bing
Mathematical Interest Theory 3rd Edition Textbook | PDF | Bond Duration ...

Mathematical Interest Theory 3rd Edition Textbook | PDF | Bond Duration ...

Bing
books/Mathematics/Mathematical Interest Theory (3rd Edition).pdf at ...

books/Mathematics/Mathematical Interest Theory (3rd Edition).pdf at ...

Bing
Solved Mathematical Interest Theory question: Topic: | Chegg.com

Solved Mathematical Interest Theory question: Topic: | Chegg.com

Bing
PPT - Math 210: Theory of Interest PowerPoint Presentation, free ...

PPT - Math 210: Theory of Interest PowerPoint Presentation, free ...

Bing
MATHEMATICAL INTEREST THEORY | University of Dayton Bookstore

MATHEMATICAL INTEREST THEORY | University of Dayton Bookstore

Bing
Mathematical Interest Theory 3rd Edition PDF | PDF | Interest ...

Mathematical Interest Theory 3rd Edition PDF | PDF | Interest ...

Bing

Intelligence Data

Mathematics - Wikipedia
Verified SourceSource: www.bing.com

Mathematics is a field of study that discovers and organizes methods, theories, and theorems that are developed and proved for the needs of empirical sciences and mathematics itself.

Mathematics | Definition, History, & Importance | Britannica
Verified SourceSource: www.bing.com

Dec 13, 2025 · Since the 17th century, mathematics has been an indispensable adjunct to the physical sciences and technology, and in more recent times it has assumed a similar role in the quantitative …

MATHEMATICAL Definition & Meaning - Merriam-Webster
Verified SourceSource: www.bing.com

The meaning of MATHEMATICAL is of, relating to, or according with mathematics. How to use mathematical in a sentence.

MATHEMATICAL | English meaning - Cambridge Dictionary
Verified SourceSource: www.bing.com

The precise form of mathematical functions describing these effects is established, while approximate methods for efficient computing of these functions are also proposed.

Wolfram MathWorld - The web's most extensive mathematics resource
Verified SourceSource: www.bing.com

Dec 3, 2025 · Comprehensive encyclopedia of mathematics with 13,000 detailed entries. Continually updated, extensively illustrated, and with interactive examples.

Mathematics - Encyclopedia of Mathematics
Verified SourceSource: www.bing.com

Mar 30, 2012 · Being inseparably connected with the needs of technology and natural science, the accumulation of quantitative relations and spatial forms studied in mathematics is continuously …

MATHEMATICAL Definition & Meaning | Dictionary.com
Verified SourceSource: www.bing.com

MATHEMATICAL definition: of, relating to, or of the nature of mathematics. See examples of mathematical used in a sentence.

What is Mathematics? – Mathematical Association of America
Verified SourceSource: www.bing.com

Mathematics as an expression of the human mind reflects the active will, the contemplative reason, and the desire for aesthetic perfection. […] For scholars and layman alike, it is not philosophy but active …

Mathematical - definition of mathematical by The Free Dictionary
Verified SourceSource: www.bing.com

1. of, pertaining to, or of the nature of mathematics: mathematical truth. 2. employed in the operations of mathematics: mathematical instruments. 3. having the exactness, precision, or certainty of …

Mathematics - Simple English Wikipedia, the free encyclopedia
Verified SourceSource: www.bing.com

Mathematics includes the study of numbers and quantities. It is a branch of science that deals with the logic of shape, quantity, and arrangement. Most of the areas listed below are studied in many …

Helpful Intelligence?

Our AI expert system uses your verification to refine future results for Mathematical Interest Theory Solutions.

Related Intelligence Nodes

Network Suggestions