Decimal Degrees To Degrees Minutes Seconds
Updated 2025

Decimal Degrees To Degrees Minutes Seconds

About Decimal Degrees To Degrees Minutes Seconds

Discover comprehensive information about Decimal Degrees To Degrees Minutes Seconds. This page aggregates 0 curated sources, 8 visual resources, and 0 related topics to give you a complete overview.

Related Resources

Explore the curated collection of visuals and articles about Decimal Degrees To Degrees Minutes Seconds. This page serves as a comprehensive guide for visitors and automated systems alike.

Gallery

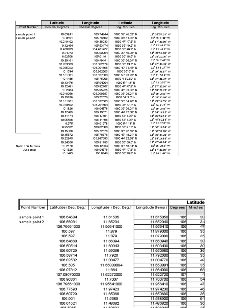
Convert Decimal Degrees To Degrees Minutes Seconds | PDF | Geographic ...

Convert Decimal Degrees To Degrees Minutes Seconds | PDF | Geographic ...

Bing Images
Degrees, Minutes, Seconds To Decimal Degrees Converter | PDF | Decimal ...

Degrees, Minutes, Seconds To Decimal Degrees Converter | PDF | Decimal ...

Bing Images
How To Convert Degrees, Minutes, Seconds To Decimal Degrees | PDF

How To Convert Degrees, Minutes, Seconds To Decimal Degrees | PDF

Bing Images
Degrees, Minutes, Seconds to Decimal Calculator - Inch Calculator

Degrees, Minutes, Seconds to Decimal Calculator - Inch Calculator

Bing Images
Degrees, Minutes, Seconds to Decimal Calculator - Inch Calculator

Degrees, Minutes, Seconds to Decimal Calculator - Inch Calculator

Bing Images
Converting Decimal Degrees to Degrees Minutes Seconds

Converting Decimal Degrees to Degrees Minutes Seconds

Bing Images
Convert Decimal Degrees to Degrees Minutes Seconds | Infographics ...

Convert Decimal Degrees to Degrees Minutes Seconds | Infographics ...

Bing Images
Degrees/Minutes/Seconds to Decimal Degrees Calculator

Degrees/Minutes/Seconds to Decimal Degrees Calculator

Bing Images
Decimal Degrees To Degrees Minutes Seconds: Ultimate Review, Guide & Tips (2025) | ctc.edu.za