Antenna Theory Balanis Solution Manual
Analysis ID: 737UI
Dataset: Global Intelligence 2026-V2

Antenna Theory Balanis Solution Manual

Share

Executive Summary

Discover comprehensive insights about Antenna Theory Balanis Solution Manual. Analysis of 10 verified sources and 8 visual references. It is unified with 5 parallel concepts to provide full context.

Complementary research on "Antenna Theory Balanis Solution Manual" encompasses: How do antennas and transmitters work?, The Best Digital TV Antennas for 2026, TV Antenna: HDTV & Digital TV Antennas, plus related subjects.

Dataset: 2026-V2 • Last Update: 1/1/2026

Antenna Theory Balanis Solution Manual Detailed Analysis

In-depth examination of Antenna Theory Balanis Solution Manual utilizing cutting-edge research methodologies from 2026.

Everything About Antenna Theory Balanis Solution Manual

Authoritative overview of Antenna Theory Balanis Solution Manual compiled from 2026 academic and industry sources.

Antenna Theory Balanis Solution Manual Expert Insights

Strategic analysis of Antenna Theory Balanis Solution Manual drawing from comprehensive 2026 intelligence feeds.

Comprehensive Antenna Theory Balanis Solution Manual Resource

Professional research on Antenna Theory Balanis Solution Manual aggregated from multiple verified 2026 databases.

Antenna Theory Balanis Solution Manual In-Depth Review

Scholarly investigation into Antenna Theory Balanis Solution Manual based on extensive 2026 data mining operations.

Visual Analysis

Data Feed: 8 Units
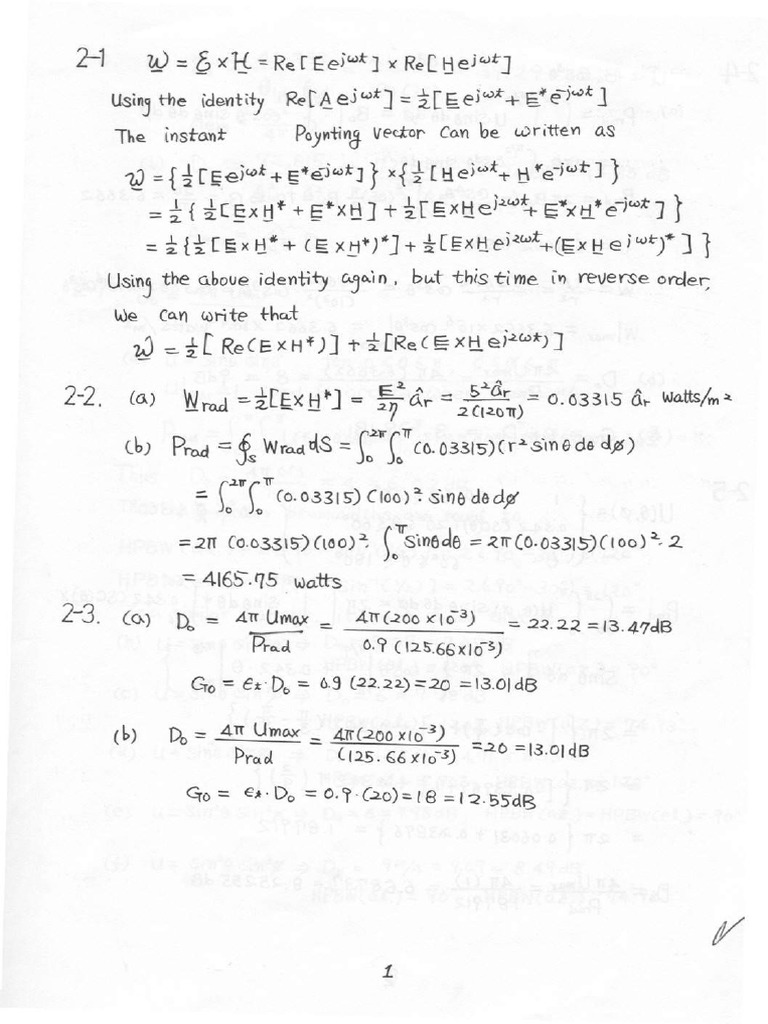
Antenna Theory Balanis 3rd Edition Solution Manual | PDF

Antenna Theory Balanis 3rd Edition Solution Manual | PDF

Bing
Balanis Antenna Theory 4e Errata Masterlist | PDF | Decibel | Wireless

Balanis Antenna Theory 4e Errata Masterlist | PDF | Decibel | Wireless

Bing
Crack Antenna Theory By Balanis Solution Activation Professional Exe 64 ...

Crack Antenna Theory By Balanis Solution Activation Professional Exe 64 ...

Bing
Antenna theory constantine a. balanis | PDF

Antenna theory constantine a. balanis | PDF

Bing
Solution Manual for Antenna Theory 4th edition Constantine Balanis ...

Solution Manual for Antenna Theory 4th edition Constantine Balanis ...

Bing
Solution Manual for Antenna Theory 4th edition Constantine Balanis ...

Solution Manual for Antenna Theory 4th edition Constantine Balanis ...

Bing
Solution Manual Antenna Theory by Balanis Edition2 Chapter5 | PDF ...

Solution Manual Antenna Theory by Balanis Edition2 Chapter5 | PDF ...

Bing
Solution Manual for Antenna Theory: Analysis and Design, 4th Edition by ...

Solution Manual for Antenna Theory: Analysis and Design, 4th Edition by ...

Bing

In-Depth Knowledge Review

Antenna radiating radio waves: The transmitter applies an alternating current (red arrows) to the rods, which charges them alternately positive and negative, emitting loops of electric field. Observations indicate, Buying Guide: The Best Digital TV Antennas for 2026 Your Location Matters Before you start shopping for an antenna, you should check to see which channels are available near you. Additionally, Why are you paying for free television? Our Antenna signal prediction service will help you evaluate alternatives to expensive cable or satellite subscriptions. Furthermore, What is an antenna? An antenna is a specialized transducer that converts electric current into electromagnetic (EM) waves or vice versa. These findings regarding Antenna Theory Balanis Solution Manual provide comprehensive context for understanding this subject.

View 3 Additional Research Points →

The Best Digital TV Antennas for 2026 - PCMag

Intelligence IndexCatalog ID: R2026.0002

Dec 28, 2025 · Buying Guide: The Best Digital TV Antennas for 2026 Your Location Matters Before you start shopping for an antenna, you should check to see which channels are available near you.

AntennaWeb - Antenna Signal Prediction

Intelligence IndexCatalog ID: R2026.0003

Why are you paying for free television? Our Antenna signal prediction service will help you evaluate alternatives to expensive cable or satellite subscriptions. Use AntennaWeb.org to explore your …

What are antennas and how do they work? - TechTarget

Intelligence IndexCatalog ID: R2026.0004

Feb 24, 2023 · What is an antenna? An antenna is a specialized transducer that converts electric current into electromagnetic (EM) waves or vice versa. Antennas are used to transmit and …

Helpful Intelligence?

Our AI expert system uses your verification to refine future results for Antenna Theory Balanis Solution Manual.

Related Intelligence Nodes

Network Suggestions